Siège social : Ennour building, Centre Urbain Nord 1082 TunisMahrajene
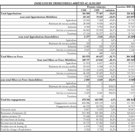
L’Arab Tunisian Lease ATL publie cidessous ses indicateurs relatifs au 1er trimestre 2019.

Auteur: L’expert
Cliquez ici pour lire l’article depuis sa source.
Siège social : Ennour building, Centre Urbain Nord 1082 TunisMahrajene
L’Arab Tunisian Lease ATL publie cidessous ses indicateurs relatifs au 1er trimestre 2019.

Partager c’est aimer!
Auteur: L’expert
Cliquez ici pour lire l’article depuis sa source.